| Passwort vergessen?
Sie sind nicht angemeldet. |  Anmelden

Sprache auswählen:

Wumpus Gollum Forum von
Wumpus Welt der (alten) Radios
Sie sind nicht angemeldet.
 Anmelden

Schwingkreise für 0V1 Empfänger
  •  
 1 2
 1 2
03.10.18 21:10
technikfreund 

500 und mehr Punkte

03.10.18 21:10
technikfreund 

500 und mehr Punkte

Schwingkreise für 0V1 Empfänger

Hallo Zusammen,

ich bin gerade mit einem 0V1 Empfänger beschäftigt,
welcher ggf. für alle AM Rundfunkbänder (KW; MW; LW) ausgelegt
werden soll.

Ein paar Probleme bereitet mir die Größe der Schwingkreisspule mit Anzapfung.

Bei Detektorradios war es ja immer die Klopapierrolle mit 100 Wdg. Kupferlackdraht als Spule für die Mittelwelle.


Nun möchte ich aber gerne Ferritkernspulen verwenden und mir fehlen bisher Werte (in µH) um die Spulen
anzufertigen.

Bei den meisten Schaltungen sind nur Windungen angegeben, ich möchte die Induktivität der Ferritkernspulen
mittels LC-Meter bestimmen.

Wie kann ich die Schwingkreise am besten berechnen (inkl. Anzapfungen der Spule) und geht für alle Wellenbereiche jeweils ein
Drehkopaket mit 500pF?



Viele Grüße Technikfreund.

Zuletzt bearbeitet am 03.10.18 21:12

Datei-Anhänge
Schwingkreis.jpg Schwingkreis.jpg (431x)

Mime-Type: image/jpeg, 11 kB

Martin.M gefällt der Beitrag.
!
!!! Fotos, Grafiken nur über die Upload-Option des Forums, KEINE FREMD-LINKS auf externe Fotos.    

!!! Keine Komplett-Schaltbilder, keine Fotos, keine Grafiken, auf denen Urheberrechte Anderer (auch WEB-Seiten oder Foren) liegen!
Solche Uploads werden wegen der Rechtslage kommentarlos gelöscht!

Keine Fotos, auf denen Personen erkennbar sind, ohne deren schriftliche Zustimmung.

Den Beitrag-Betreff bei Antworten auf Threads nicht verändern!
03.10.18 21:35
Martin.M 

500 und mehr Punkte

03.10.18 21:35
Martin.M 

500 und mehr Punkte

Re: Schwingkreise für 0V1 Empfänger

das ist vom Material des Kerns und den Abmessungen des Spulenkörpers abhängig.
Also einfach mal 10 Windungen drauf, Kern halb eingedreht, so messen, Ergebnis / 10 = µh/Wdg

Den Drehko kannst du bei den höheren Frequenzen mit einem Serien C verkürzen.

Abgriff: beim Audion sollte das mit 10% vom kalten Ende sicher anschwingen.
Du nimmst doch ECC81 oder?

lG Martin

03.10.18 21:53
technikfreund 

500 und mehr Punkte

03.10.18 21:53
technikfreund 

500 und mehr Punkte

Re: Schwingkreise für 0V1 Empfänger

Hi Martin,

danke schonmal für deine Antwort, das mit den 10% ist ein guter Hinweis.

Die Spulen die ich habe, stammen aus einem Sortiment Ferritkernspulen
und sind bereits fertig gewickelt.

Meine Idee ist, die Spulen passend abzuwickeln und den notwendigen
Wert mittels LC-Meter zu bestimmen.

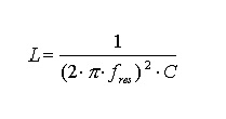
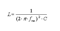
Wenn ich jetzt mit der Schwingkreisformel L ausrechnen möchte,
wie nehme ich die Werte an, zum Beispiel mal der Mittelwellenschwingkreis:



Für den Wert Resonanzfrequenz würde ich die Mitte des Mittelwellenbands wählen 1620khz - 530khz = 1090khz ?

Wäre das korrekt und welchen Werte nehme ich dann z.B. für C, den 500pF Luftdrehkodensator an?


PS: Die Röhre ist eine ECC83, die ECC81 habe ich gerade nicht.

Viele Grüße Technikfreund.

Zuletzt bearbeitet am 03.10.18 22:23

Datei-Anhänge
Formel.jpg Formel.jpg (398x)

Mime-Type: image/jpeg, 4 kB

03.10.18 22:24
ingodergute 

Moderator

03.10.18 22:24
ingodergute 

Moderator

Re: Schwingkreise für 0V1 Empfänger

Hallo Technikfreund,

wenn Du den Drehko mit seiner maximalen Kapazität in Deine Schwingkreisformel einsetzt, dann ist die Frequenz für Mittelwelle, mit der Du rechnen mußt, 530 kHz also die niedrigste im Band. Beim Aufdrehen des Drehkos auf seine kleinste Kapazität ergibt sich dann die maximale Frequenz.

Das Verhältnis der größten zur kleinsten Frequenz ist gleich der Wurzel aus dem Verhältnis der größten zur kleinsten Kapazität des Drehkos.

Gruß Ingo.

_____________
Analog bleiben!

Zuletzt bearbeitet am 03.10.18 22:25

04.10.18 06:43
technikfreund 

500 und mehr Punkte

04.10.18 06:43
technikfreund 

500 und mehr Punkte

Re: Schwingkreise für 0V1 Empfänger

Hi Ingo,

wenn ich nun mit z.B . 530 khz für die Resonanzfrequenz und 500pf für
den Schwingkreiskondensator rechne, komme ich auf etwa 180µH.

Soweit so gut, wenn ich die Formel umstelle komme ich auch wieder
auf die 530 khz als Resonanzsfrequenz.

Dementsprechend hat der Schwingkreis bei eingedrehtem Drehkondensator
und der festen Spule von 180µH die beste Resonanz.

Nun ist mein Schwingkreis ja veränderlich und wenn ich mit 1620khz
rechne und für den aufgedrehten Drehko mal 20pF annehme, komme
ich auf etwa 482µH für die Induktivität.

Kann man diesen Wert vernachlässigen, reicht es wenn ich mit der kleinsten Frequenz
und eingedrehtem Drehko den Schwingkreis berechne?

Viele Grüße Technikfreund.

04.10.18 08:54
Martin.M 

500 und mehr Punkte

04.10.18 08:54
Martin.M 

500 und mehr Punkte

Re: Schwingkreise für 0V1 Empfänger

technikfreund:
PS: Die Röhre ist eine ECC83, die ECC81 habe ich gerade nicht.

die ist dafür ausgesprochen schlecht geeignet.
ECC81, ECC82, EC92, oder auch eine ECF, da geht so einiges.

lG Martin

04.10.18 09:24
ingodergute 

Moderator

04.10.18 09:24
ingodergute 

Moderator

Re: Schwingkreise für 0V1 Empfänger

Hallo Technikfreund,

Du hast falsch herum gerechnet:

500 pF verlangen für 530 kHz 180 µH, das stimmt. Die 180µH stehen nun fest. 180 µH und 20 pF ergeben 2,65 MHz. Damit überstreicht Dein Schwingkreis bestehend aus dem Drehko 20 pF ... 500 pF und 180 µH Induktivität den Frequenzbereich 530 kHz ... 2650 kHz. Wenn Du das eingrenzen möchtest, musst Du parallel oder in Reihe zum Drehko Kondensatoren schalten, die die efektiv wirksame Kapazitätsvariation begrenzen.
Eine Variation von 20 pF bis 500 pF - entspricht 1 : 25 - ergibt eine Frequenzvariation (Wurzel ziehen) von 1 : 5.
530 kHz bis 1620 kHz sind aber etwa 1 : 3, verlangen also eine Kapzitätsvariation von 1:9.
Gesetzt der Drehko hat eine Anfangskapazität von Canf und eine Endkapazität von Cend, dann soll die Zusammenschaltung von Drehko und Zusatzkondensator ein Kapazität haben von Canf1 und Cend1
Bei Paralellschaltung eines Festkondensators wäre Canf1=Canf+Czus und Cend1=Cend+Czus
Es ist gefordert :

(1) Canf1 / Cend1 = 1 / 9 bei

(2) Canf / Cend = 1 / 25

Ergibt:

(3) (Canf+Czus)/(Cend+Czus)=1/9

Aus (2) folgt: Canf=Cend/25

Eingesetzt in (3) ergibt:

(4) (Cend/25+Czus)/(Cend+Czus)=1/9

Jeweils die Nenner auf die andere Seite gebracht, ergibt:

(5) 9/25*Cend+9*Czus=Cend+Czus

Rechnet man auf beiden Seiten - Czus und -9/25 Cend ergibt sich:

(6) 8*Czus=Cend*(1-9/25)

oder 8*Czus=Cend*(25-9)/25

oder Czus=Cend*16/(25*8)

oder final Czus=Cend*2/25

Für Cend=500 pF sind das Czus=40 pF

Schaltest Du nun zu Deinem Drehko 40 pF parallel, so ergeben sich folgende Anfangs- und Endkapazitäten:

Canf=540pF und Cend=60pF.
Die erreichbare Frequenzvariation ist Wurzel(540/60)=3, bedeutet einen Frequenzbereich von 530 kHz bis 1590 kHz.

Wenn Du Czus etwas kleiner als 40pF machst hast Du Deinen gewünschten Bereich.
Die Induktivität ist nun für 540 pF und 530 kHz 167 µH.

Du siehst, mit wenig einfacher Mathematik kannst Du Dir Deine Schaltung berechnen. Nimm für Czus einen Trimmer von vielleicht 4...25pF und schalte 22 pF parallel und Du kannst Deine Frequenzgrenzen schön einstellen. Wenn Deine Spule einen verschiebbaren Kern hat, dann stellst Du damit die untere Grenzfrequenz Deines Schwingkreises und mit dem Trimmer die obere ein (ein paar mal im Wechsel, weil sich die Abgleiche beeinflussen) und am Ende stimmen beide perfekt.

Vermutlich kann aber der einzulötende Czus kleiner bemessen werden, weil Du auch noch die Wicklungskapazität der Spule und Schaltkapazitätten hast, die schnell sogar mal größer sein können als Deine berechnete Czus und Dir damit Deine mögliche Frequenzvariation nach oben begrenzen. Deshalb Spulen immer kapazitätsarm wicklen und die Schaltung mit kurzen Leitungen ausführen um unerwünschte Schaltkapazitäten im Bereich des Schwingkreises zu vermeiden

Viele Grüße

Ingo.



_____________
Analog bleiben!

Zuletzt bearbeitet am 04.10.18 09:56

04.10.18 09:33
WalterBar 

500 und mehr Punkte

04.10.18 09:33
WalterBar 

500 und mehr Punkte

Re: Schwingkreise für 0V1 Empfänger

Hallo zusammen,

die Schwingkreisberechnung für einen Ov1 ist die eine Sache. Es kommen aber Kapazitäten durch den Schaltungsaufbau hinzu, und die Antennenankopplung spielt eine Rolle. Meine Antenne hat zum Beispiel 400pF Kapazität zur Erde. Diese kompensiere ich gerne mit einer Spule zur Serienresonanz. Diese Spule kann kann ich dann problemlos mit dem Schwingkreis des OV1 koppeln. Es ist auch möglich, die Antenne über nur wenige pF Kapazität an den Schwingkreis anzuschliessen. Oft kann aus vorgenannten Gründen ein richtig dimensionierter Schwingkreis eines OV1 nicht über 1,3 ... 1,4 MHz abgestimmt werden.

Gruss
Walter

Zuletzt bearbeitet am 04.10.18 12:35

04.10.18 19:29
wumpus 

Administrator

04.10.18 19:29
wumpus 

Administrator

Re: Schwingkreise für 0V1 Empfänger

Hallo zusammen,

wenn man einen gemeinsamen 500 pF Drehko für LW, MW, KW 0-V-1 Geräte nutzen will, könnte das zumindest bei KW auch gewisse Nachteile haben. Z.B. die Frage der Kreisgüten und des Schwingkreis-Delta, wenn man Reihen-Kondensatoren zur Verringerung der Kapazitätswerte einsetzt. Ein optimaler KW-Bereich kommt am besten (in qewisser Abhängigkeit von dem KW-Bereich) mit kleineren Drehko-C Werten aus.

Beim O-V-1 für KW-Bereiche schaden auch hohe Kreisgüten nicht, denn das Gerätchen hat (insbesondere im oberen KW-Bereich) nichts zu verschenken.


Grüße von Haus zu Haus
Rainer, DC7BJ (Forumbetreiber)
Ein Leben ohne Facebook ist möglich und sinnvoll.

Welt der alten Radios:
http://www.welt-der-alten-radios.de

Wumpus-Gollum-Forum:
http://www.wumpus-gollum-forum.de/forum

Virtuelle Voxhaus-Gedenktafel:
http://www.voxhaus-gedenktafel.de

Wumpus bei youtube:
https://www.youtube.com/user/MyWumpus

Zuletzt bearbeitet am 04.10.18 19:38

05.10.18 06:41
technikfreund 

500 und mehr Punkte

05.10.18 06:41
technikfreund 

500 und mehr Punkte

Re: Schwingkreise für 0V1 Empfänger

Hallo Zusammen,

ich habe jetzt mal die Spulenwerte für Mittelwelle und Kurzwelle berechnet:

Drehko 330pF; 530Khz = 273µH MW Spule

Drehko 330p; 6000Khz = 2,13µH KW Spule

oder, da der Drehko auch ein 2x 12pF Paket hat

Drehko 24pF; 6000Khz = 29µH Spule


Von den Spulen würde ich dann jeweils 10% der Windungen zum Anschwingen.


Wie könnte ich am besten die Umschaltung der Wellenbereiche realisieren,
mit einem mehrpoligen Schalter jeweils Drehko Paket und Spule umschalten?

Viele Grüße Technikfreund.

 1 2
 1 2
Schwingkreiskondensator   Wicklungskapazität   Kapazitätsvariation   Wumpus-Gollum-Forum   Schaltkapazitätten   Empfänger   Mittelwellenschwingkreis   Kapzitätsvariation   Voxhaus-Gedenktafel   Detektorapparat-Kreise   Frequenzvariation   Schwingkreisformel   Technikfreund   aufwärtstransformierend   Reihen-Kondensatoren   Schwingkreise   Mittelwellenbereich   Schwingkreisberechnung   Anschlussdrahtlängen   welt-der-alten-radios